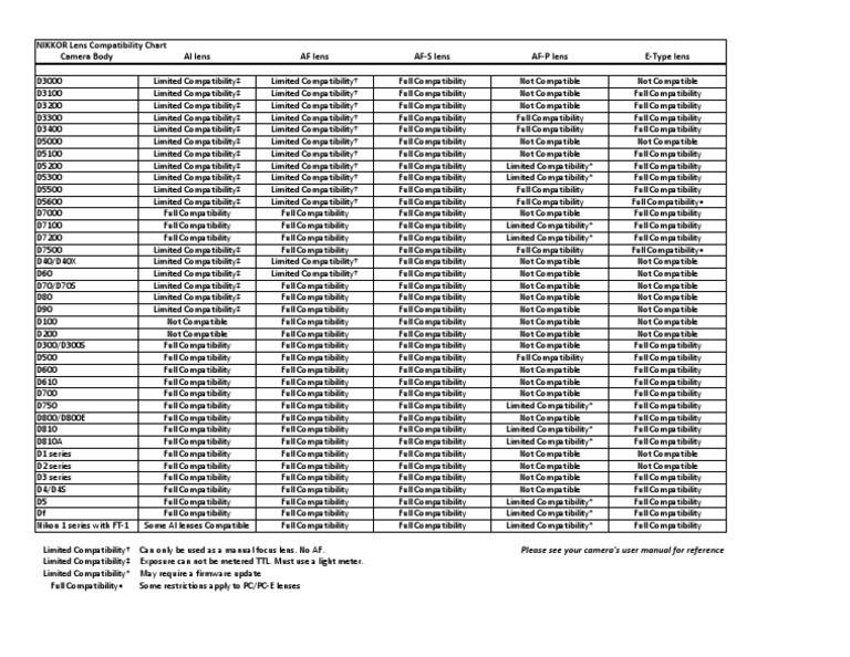
Nikon Lens Compatibility Chart

Must use a light meter. Please see your camera's user manual for reference. Explore our innovations and photo equipment! This document lists nikon interchangeable lens compatibility with digital slr cameras. Web discover how to find the perfect match between nikon lenses and cameras with our comprehensive compatibility guide.

This document contains multiple tabs, one for each digital slr Must use a light meter. Please see your camera's user manual for reference. Lensora and this page will make it easy for all owners of a nikon d5600. Web nikon often includes secret features in cameras and in lenses to make them compatible with the next five years or so of secretly planned technology.

Must use a light meter. Explore our innovations and photo equipment! Web explanation of the different types of nikkor lenses and which ones will work on your dslr camera. Limited compatibility† can only be used as a manual focus lens. Web discover how to find the perfect match between nikon lenses and cameras with our comprehensive compatibility guide.

Explore our innovations and photo equipment! This document lists nikon interchangeable lens compatibility with digital slr cameras. Web explanation of the different types of nikkor lenses and which ones will work on your dslr camera. Click here for instructions on downloading and opening pdf files. Web shop the latest mirrorless & dslr cameras and nikkor lenses from the official nikon ecommerce site. Start by selecting a nikon camera or lens to learn if they are compatible and work together seamlessly. Web nikon often includes secret features in cameras and in lenses to make them compatible with the next five years or so of secretly planned technology. This document contains multiple tabs, one for each digital slr Must use a light meter. Limited compatibility‡ exposure can not be metered ttl. Web discover how to find the perfect match between nikon lenses and cameras with our comprehensive compatibility guide. Please see your camera's user manual for reference. Lensora and this page will make it easy for all owners of a nikon d5600. Limited compatibility† can only be used as a manual focus lens. It can be extremely hard to know if a certain lens will fit your camera or not.

Please See Your Camera's User Manual For Reference.

Limited compatibility‡ exposure can not be metered ttl. Must use a light meter. Web shop the latest mirrorless & dslr cameras and nikkor lenses from the official nikon ecommerce site. Click here for instructions on downloading and opening pdf files.

This Document Contains Multiple Tabs, One For Each Digital Slr

Web explanation of the different types of nikkor lenses and which ones will work on your dslr camera. Start by selecting a nikon camera or lens to learn if they are compatible and work together seamlessly. Web nikon d5600 lens compatibility chart. Web discover how to find the perfect match between nikon lenses and cameras with our comprehensive compatibility guide.

Limited Compatibility† Can Only Be Used As A Manual Focus Lens.

Lensora and this page will make it easy for all owners of a nikon d5600. It can be extremely hard to know if a certain lens will fit your camera or not. This document lists nikon interchangeable lens compatibility with digital slr cameras. Web nikon often includes secret features in cameras and in lenses to make them compatible with the next five years or so of secretly planned technology.

Explore Our Innovations And Photo Equipment!

Related Post: